海洋所研究发现长江口低氧区厌氧光合细菌的固碳作用巨大
近日,中国科学院海洋研究所海洋生源物质循环与碳汇过程研究组在Limnology and Oceanography发表了题为“Bacteriochlorophyll reveals estuarine hypoxia and anoxygenic photosynthetic carbon fixation”的研究论文。该研究系统解析了长江口水体与表层沉积物中细菌叶绿素(Bchls)的分布、来源及其对低氧和水体分层的响应,揭示了厌氧光合细菌在河口固碳过程中的重要贡献,为全球缺氧海域碳循环途径提供了新的证据和视角。
在气候变化与人类活动叠加影响下,近海缺氧区持续扩张,与之相协同的厌氧光合细菌生长与固碳潜力日益引发关注,但至目前,关于近海缺氧区中细菌叶绿素的来源、降解过程及其对氧化还原环境的响应机制仍不清楚,限制了对其厌氧光合固碳贡献的准确评估。
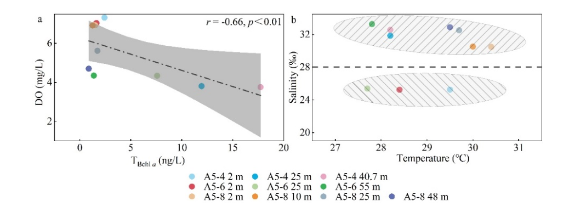
该研究基于对长江口水体和表层沉积物中Bchls分布与来源的解析,揭示了其对低氧和水体分层的响应程度,评估了厌氧光合细菌在河口固碳过程中的重要贡献。结果显示,河口内表层水体中Bchls含量较高,且仅检测到与其来源相关的鞘氨醇单胞菌科(Sphingomonadaceae),表明该区域的Bchls主要来源于好氧不产氧光合细菌;而河口外底层水体Bchls含量偏高,仅检测到与其来源相关的着色菌科(Chromatiaceae)和外硫红螺菌科(Ectothiorhodospiraceae),表明该区域的Bchls主要来源于紫硫细菌。此外,水柱中Bchls浓度与溶解氧呈显著负相关,与表底层盐度差(ΔS)呈正相关,表明Bchls可作为指示低氧与水体分层的有效标志物。预估研究显示,在未来百年尺度内,随着长江口外低氧区持续扩展,厌氧光合细菌对该区域固碳的贡献将显著增加,最高可达浮游植物固碳量的16%,这是一个不可忽视的初级生产固碳途径。该研究不仅对确立Bchls作为低氧与水体层化的可靠生物标志物提供了理论支撑,也为重新评估全球近海缺氧系统的碳固定机制奠定基础。

图1 长江口水体Bchls及Chls的断面分布

图2 长江口水体低氧参数相关性
a.水体中Bchls与溶解氧(DO)的相关关系,阴影区域为95%置信区间;b. 基于温度和盐度数据的长江口水体分层状况。
中国科学院海洋研究所博士研究生阚家薇为论文第一作者,段丽琴研究员为论文通讯作者,宋金明、李学刚、袁华茂、王应霞等为论文的共同作者。本研究得到了国家自然科学基金、国家重点研发项目、山东省自然科学基金等项目的联合资助。
论文信息:
Kan,J.,Duan,L.*,Song,J.,Yin,M.,Li,X.,Liu,X.,Wang,Y.,2025. Bacteriochlorophyll reveals estuarine hypoxia and anoxygenic photosynthetic carbon fixation. Limnology and Oceanography,70(10):3089-3101. https://doi.org/10.1002/lno.70203.
附件下载:
鲁公网安备37020202001323号
