重点实验室在海洋活性天然组合物减肥降脂研究中取得新进展
随着生活水平的不断提高,肥胖症的发病率越来越高。据统计,我国居民超重和肥胖人群已经接近总人口的四分之一。过度肥胖可导致心血管、消化系统以及肿瘤等相关疾病。现有的减肥药物或者保健品要么减肥效果不显著,要么具有副作用。因此,研发安全有效的减肥产品已成为医药保健食品研究的重点和热点。
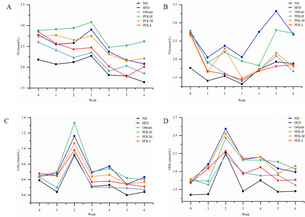
海洋生物资源丰富,生长环境独特,是相关产品研发的资源宝库。中科院海洋所藻类分子生理与发育调控研究团队基于前期研究筛选,将海洋来源的活性蛋白及类胡萝卜素等活性产物经科学组方复配成复合物(PFK),并利用高脂饲料诱导肥胖大鼠模型研究其减肥降脂效果及机理。研究结果表明,低剂量的PFK复合物能够降低肥胖大鼠的体重,减缓脂肪的积累,改善血脂参数,减少高脂饮食肥胖对器官损害。机制研究结果显示,低剂量PFK复合物能减少大鼠的脂肪酸合成酶和乙酰辅酶A羧化酶的含量。脂肪酸合成酶和乙酰辅酶A羧化酶是脂肪酸合成的限速酶,这两种酶含量减少可以限制脂肪合成,抑制脂肪细胞分化,达到减肥降脂效果。PFK复合物还具有强抗氧化活性,能够降低脂质过氧化产生的丙二醛含量并增加谷胱甘肽含量,促进三羧酸循环,改善血脂,降低动脉粥样硬化指数,以减少肥胖产生的并发症,对大鼠减肥降脂产生协调作用。研究发现由于PFK复合物减肥降脂主要是通过限制脂肪酸合成酶活性实现,因此过多摄入PFK复合物可能会有副作用。该研究为开发为具有降脂减肥功能的天然食品或药品奠定了理论基础,具有广阔的市场前景。

图1. PFK复合物对血脂的影响 (A) 总胆固醇, (B) 甘油三酯, (C) 低密度脂蛋白, (D) 高密度脂蛋白

图2. PFK复合物脂质代谢和抗氧化活性的影响 (A) 乙酰辅酶A羧化酶, (B) 脂肪酸合成酶, (C) 超氧化物歧化酶, (D) 丙二醛, (E) 谷胱甘肽.
论文第一作者为海洋所硕士研究生羌玺,通讯作者为海洋所王立军副研究员等。研究得到了山东省重大创新工程和国家重点研发计划等项目的资助。
论文信息:
Xi Qiang, Chuanlong Guo, Wenhui Gu,Yuling Song,Yuhong Zhang, Xiangzhong Gong, Lijun Wang* and Guangce Wang*, The Complex of Phycobiliproteins, Fucoxanthin, and Krill Oil Ameliorates Obesity through Modulation of Lipid Metabolism and Antioxidants in Obese Rats, Nutrients 2022, 14(22), 4815. https://doi.org/10.3390/nu14224815.
附件下载:
鲁公网安备37020202001323号
