海洋所在高精度、低成本GNSS浮标海浪观测技术方面取得突破
近日,中国科学院海洋研究所徐永生研究团队在全球导航卫星系统(GNSS)海浪测量领域取得了重要突破,成功开发了一种基于单频GNSS信号的海浪反演方法,能够实时、高精度、低成本监测海浪,对科学研究和市场应用均具有重要价值,成果在遥感学期刊IEEE Transactions on Geoscience and Remote Sensing发表。
海浪在时间和空间域上呈现出显著变化的特性,因此对海浪进行有效监测对于海洋灾害防护和海洋动力变化精确预测非常关键。虽然人类在海浪观测领域已经取得了显著进展,但是高昂的观测成本严重限制了对海浪进行广泛监测的能力。GNSS浮标通过在全球统一的坐标框架内直接测量海面的高度和速度,为高精度地测量波高、波周期和海浪能谱等关键参数提供了可能。然而,导致GNSS浮标未能大规模部署的主要原因包括硬件成本高、实时性难以保证以及对基站的依赖等问题。
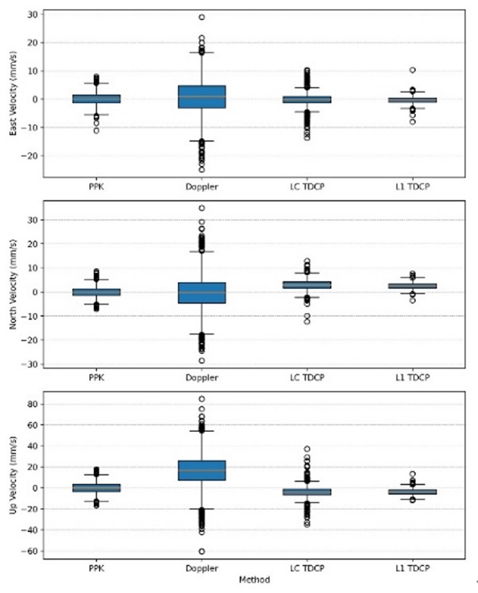
本研究综合对比了GNSS的原始多普勒、事后动态载波相位差分PPK、双频消电离层组合的时间差分载波相位(Time-Differenced Carrier Phase,TDCP)以及单频TDCP等方案测速精度。结果显示,单频TDCP方案的测速精度比原始多普勒技术提高了将近五倍,并且也相对于PPK和双频TDCP方案有所提高。通过在海上进行的实际测试,证明了单频GNSS在测量波高和周期方面的精度分别可达到6厘米和0.1秒,这与昂贵的传统加速度计海浪浮标的测量精度一致。基于这一创新算法,研究团队正致力于开发一款高精度单频GNSS浮标。这款浮标不仅成本低廉,数据处理量小,性能稳定,算法简化,还具备灵活布放的特点,既可采用漂浮式也可进行固定式布放,对于实现人类对海浪进行全面监测具有深远的影响。

图1 利用PPK、L1 TDCP、LC TDCP和原始多普勒方法确定的NEU方向速度精度

图 2 GNSS浮标和业务化波浪浮标的结果对比
文章第一作者是徐永生团队在读博士生杨磊,徐永生研究员为通讯作者。徐永生研究员曾经创新性提出利用海浪场在时间与空间域的频散关系来定标干涉高度计的方法,在国际上通过单个GNSS浮标首次实现了机载干涉成像高度计的海上定标(Yang and Xu et al,2020),并成功建立了首个基于干涉测高观测的海浪参数反演模型(Jiang and Xu et al,2022)。尽管这一方法能够评估载荷在海浪尺度的误差水平,但由于单个GNSS浮标无法在空间域上覆盖亚中尺海面高度异常(SSHA),因此无法检验干涉高度计对亚中尺度SSHA的观测性能。GNSS浮标阵列(包含10个以上GNSS浮标)是检验干涉高度计亚中尺度SSHA观测性能的有效途径。低成本GNSS浮标对降低评估干涉高度计亚中尺度SSHA观测性能成本将起到关键作用。
相关论文信息:
Yang, L., Xu, Y. et al. Retrieval of Ocean Wave Characteristics via Single-Frequency Time-Differenced Carrier Phases From GNSS Buoys, in IEEE Transactions on Geoscience and Remote Sensing, vol. 62, pp. 1-12, 2024, Art no. 4204512, doi: 10.1109/TGRS.2024.3378161.
https://ieeexplore.ieee.org/document/10473765
Yang, L., Xu, Y. et al. Calibration of an Airborne Interferometric Radar Altimeter over the Qingdao Coast Sea, China. Remote Sens. 2020,12,1651.
Jiang, Q., Xu, Y., et al. Wind-generated gravity waves retrieval from high-resolution 2-d maps of sea surface elevation by airborne interferometric altimeter. IEEE geoscience and remote sensing letters, 2022, (19-).
附件下载:
鲁公网安备37020202001323号
